К вопросу о том, зачем нужна страховка.
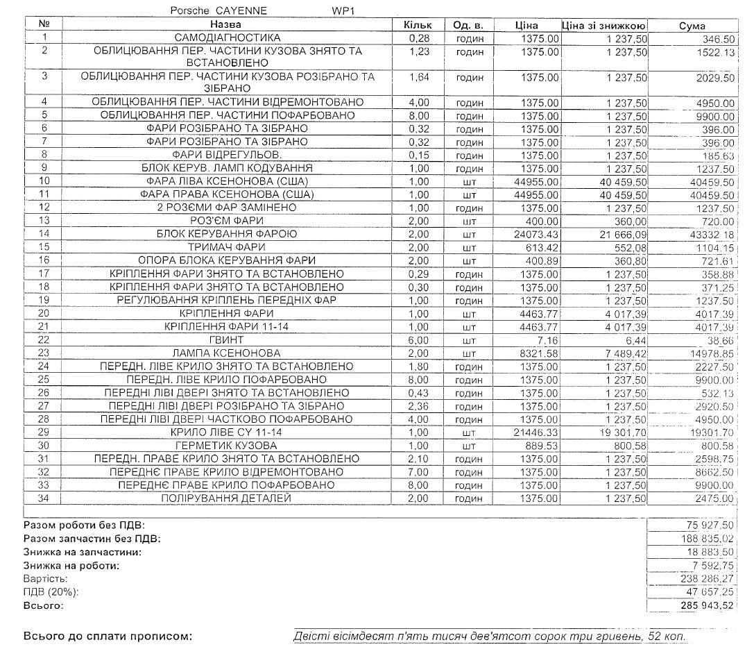
У клиента на Порш Каен украли фары.
Счет фирменной СТО - 286 тыс.грн. Это со скидкой.
Фары + блоки управления + лампы + крепления + крылья, и т.д.
Фары были закреплены специальными тросами - не помогло, сломали крылья и вытянули.
P.S. Кому нужна страховка - милости просим, обращайтесь.

Партнёр Кашкай-Клуба по страхованию. Все виды! Удобно и надёжно. Про автостраховки тут:
viewtopic.php?f=70&t=10956