Интернет, Мобильная связь, ПК, КПК, и все в том же духе.
Write comments

Re: 3G в Украине

Сб апр 30, 2016 16:36:04

Сигналкин
Сначала взял помощь клуба... :D
Но чувствую, что после праздника придётся таки звонить.
Torpedo

Re: 3G в Украине

Чт май 05, 2016 12:54:12

Сигналкин писал(а):А шо "наш звонок очень важен для нас" говорит ?

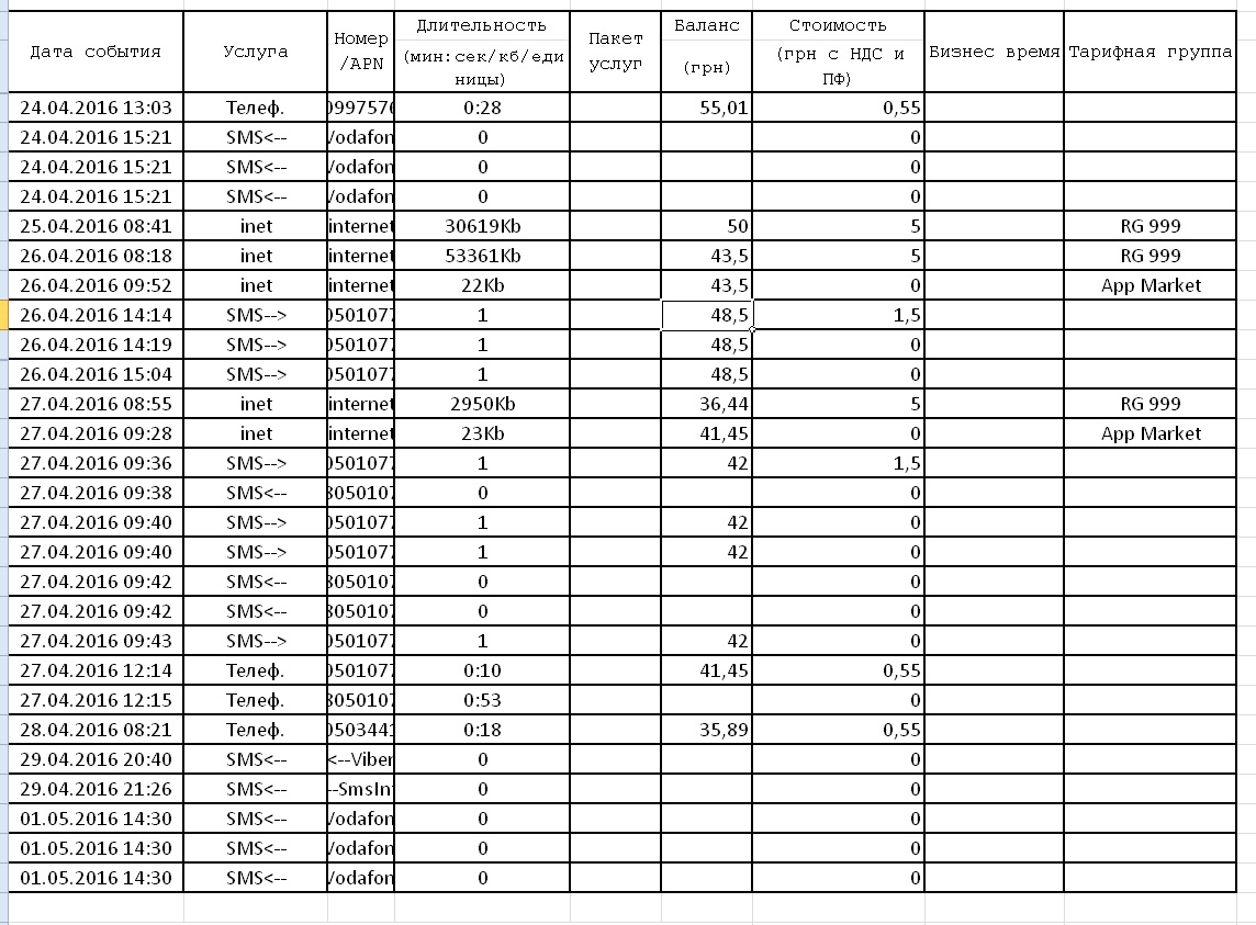
Позвонил, что такое "Тарифная группа - RG 999" операторы не знают (пробовал спрашивать 3 раза).
На вопрос "Как телефон с отключенной функцией передачей данных может выйти в интернет?" тоже ни кто не ответил. Правда один корифей предположил, что включено автоматическое обновление и нада подъехать в СЦ чтобы проверить настройки.

Вот теперь сижу и думаю, сразу сделать так:
Сладкая месть.jpg


или сделать ещё и эту распечатку
MTC 2.jpg

и поехать в СЦ, позадавать вопросы..
Сигналкин

Re: 3G в Украине

Чт май 05, 2016 14:01:02

Torpedo писал(а):или сделать ещё и эту распечатку

А эт ты заказывал ? Или мона самому в ЛК сформировать?
Хочу у себя глянуть :)
Torpedo

Re: 3G в Украине

Чт май 05, 2016 14:10:26

Сигналкин писал(а):мона самому в ЛК сформировать

Да, хоть 10 шт в день.
Torpedo

Re: 3G в Украине

Чт май 05, 2016 14:28:08

Эпопея с MNP-тендером продолжается: конкурс снова обжалован в Антимонопольном комитете Украины
Torpedo

Re: 3G в Украине

Ср май 11, 2016 12:13:08

Мобильный оператор Lifecell с 18 мая повысит тарифы на доступ к интернету

Мобильный оператор lifecell с 18 мая повысит стоимость доступа к интернет с 3 грн до 5 грн за каждые 50 Мб в тарифных планах, которые действуют по всей территории Украины, а также в тарифных планах "3G Смартфон Ultra", "3G Шалений день Ultra", "Шалений день+класичний", "Смартфон+", "3G Шалений день+" и "Смарт" с пакетом услуг S, M, L, XL.

Об этом оператор сообщил в публикации в газете "Голос Украины" от 11 мая, передает БизнесЦензор со ссылкой на Интерфакс-Украина.

Кроме того, lifecell сообщил, что абонентам, которые активируют стартовый пакет с тарифным планом "Легкий" или осуществят миграцию на этот тарифный план, будет автоматически активирована услуга "Выгодные разговоры".

При этом переход на тарифный план "Легкий" в течение 30 календарных дней с момента активации любого пакета, если абонент после активации не мигрировал на другой пакет, будет осуществляться бесплатно. В других случаях переход на пакет "Легкий" обойдется в 15 грн.

С 18 мая плата за услугу "Интернет неделя" составит 15 грн за каждые 500 Мб на семь календарных дней.

Все указанные тарифы обнародованы с учетом налогов и сборов.
Torpedo

Re: 3G в Украине

Пт июн 10, 2016 11:54:24

Vodafone Украина ужесточил условия использования услуги «Роуминг, как дома» и для контрактных абонентов
locust

Re: 3G в Украине

Пт июн 10, 2016 15:57:02

Киевстуру не изменю:)
Torpedo

Re: 3G в Украине

Пт июн 10, 2016 19:15:47

locust писал(а):Киевстуру не изменю:)
и Днепропетровским городским тепловым сетям тоже не сможешь изменить... :D
Woolf

Re: 3G в Украине

Чт июн 23, 2016 13:49:20

З 22 червня 2016 року Київстар запускає нову захоплюючу пропозицію для фанатів якісного 3G. Контрактні абоненти та абоненти передплаченого зв’язку можуть підключити супер вигідний інтернет-пакет «Нічний» за акційною ціною 10 грн* та отримати 10 000 МБ трафіку на місяць.

http://www.kyivstar.ua/kr-620/press_cen ... /?id=59264
locust

Re: 3G в Украине

Чт июн 23, 2016 13:59:47

Torpedo писал(а):
locust писал(а):Киевстуру не изменю:)
и Днепропетровским городским тепловым сетям тоже не сможешь изменить... :D

этих чмошников, я бы спалил
Torpedo

Re: 3G в Украине

Чт июн 23, 2016 14:12:16

Woolf писал(а):З 22 червня 2016 року Київстар запускає нову захоплюючу пропозицію

Але будьте уважні:
Акційна ціна 10 грн/міс діятиме до 30 вересня 2016 року. З 01 жовтня вартість пакету становитиме 30 грн/міс.
Woolf

Re: 3G в Украине

Чт июн 23, 2016 14:25:08

Torpedo писал(а):
Woolf писал(а):З 22 червня 2016 року Київстар запускає нову захоплюючу пропозицію

Але будьте уважні:
Акційна ціна 10 грн/міс діятиме до 30 вересня 2016 року. З 01 жовтня вартість пакету становитиме 30 грн/міс.

До 30го сентября еще дожить надо.
10000 МБ за 10 грн отличный кейс)
Torpedo

Re: 3G в Украине

Чт июн 23, 2016 15:41:04

Woolf писал(а):отличный кейс)

Точна. Атличный кейс:
.. крім вигідної ціни і великого обсягу трафіку, включеного в пакет, додаткова перевага пропозиції — більш висока швидкість мобільного інтернету в нічний час у зв’язку зі зниженням навантаження на мережу.
...
Отримані мегабайти можна використовувати в період з 00:00 до 08:00.

:D
Woolf

Re: 3G в Украине

Чт июн 23, 2016 21:02:42

Torpedo писал(а):
Woolf писал(а):отличный кейс)

Точна. Атличный кейс:
.. крім вигідної ціни і великого обсягу трафіку, включеного в пакет, додаткова перевага пропозиції — більш висока швидкість мобільного інтернету в нічний час у зв’язку зі зниженням навантаження на мережу.
...
Отримані мегабайти можна використовувати в період з 00:00 до 08:00.

:D


Ну было бы странно если "інтернет-пакет «Нічний»" работал только днем)
Write comments